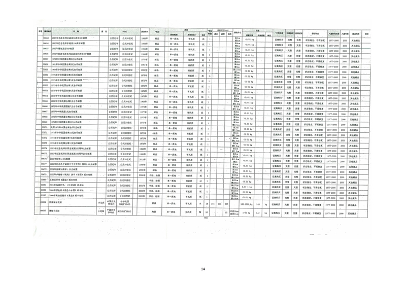
广信区三鼎民俗博物馆藏品备案情况表
截止2019年12月14日,广信区三鼎民俗博物馆共采集藏品 685件套(865件)。此次上报藏品 685 件套 (865件)。
按照类别分,玉石器、宝石0件套(0件),陶器 19 件套(93件)瓷器12件套 (12件),铜器2件套 (2件),金银器0件套 (0件).钱币0件套 (0件),古籍图书5件套 (5件),其余类别藏品 647件套(753件)。
按照年代分,汉代0件套 (0件),唐代0件套 (0件),宋代0件套(0件),清代31件套 (102件),中华民国67件套 (176件),建国后0件套 (0件),其余年代藏品 587件套 (587件)。
按照藏品来源分,征集购买 685 件套 (865件),接受捐赠 0件套(0件),依法交换0件套 (0件),拨交件0套(0件),其他0件套(0件)。
广信区三鼎民俗博物馆












