联系我们

联系人:蔡福伟
电话:0793-8629678
手机:13907937095 15879382282
Email:3316906087@qq.com
地址:江西省上饶市广信区皂头镇三联村
QQ:3316906087
位置:首页 > 章程文件
博物馆藏品情况综述
发表时间:2024-01-12     阅读次数:     字体:【

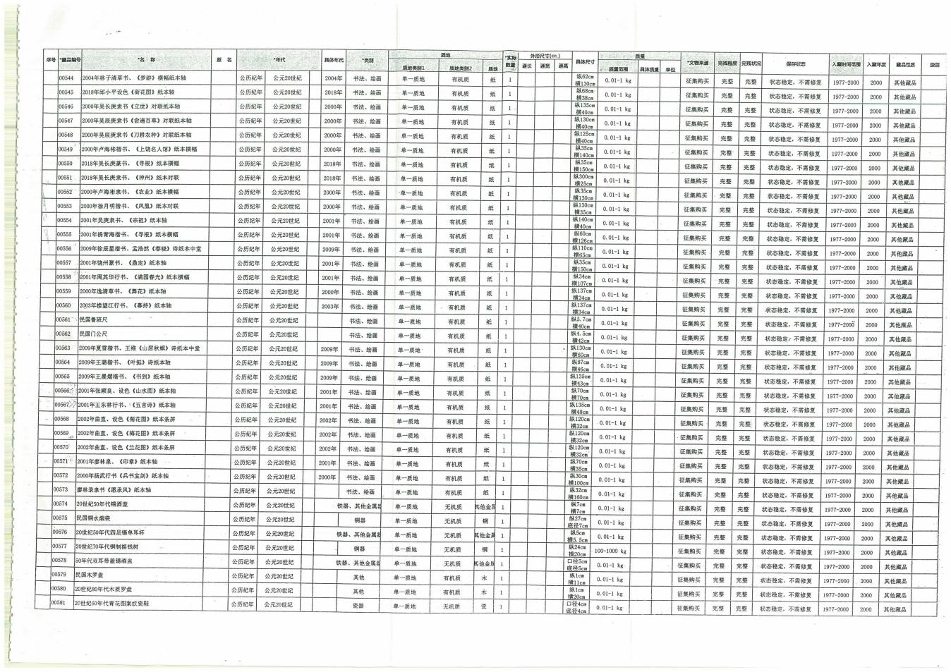
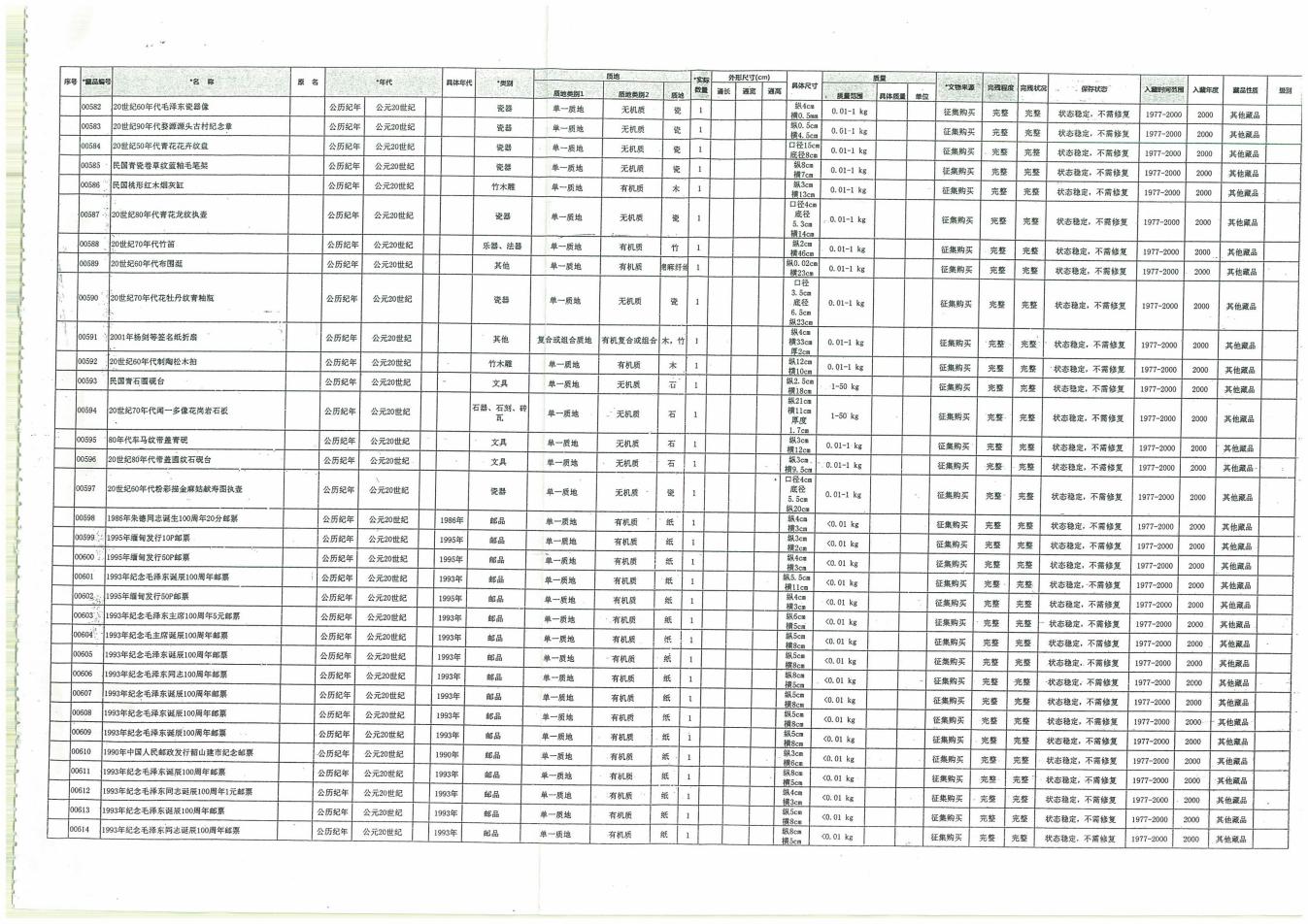
广信区三鼎民俗博物馆藏品备案情况表

截止2019年12月14日,广信区三鼎民俗博物馆共采集藏品 685件套(865件)。此次上报藏品 685 件套 (865件)。

按照类别分,玉石器、宝石0件套(0件),陶器 19 件套(93件)瓷器12件套 (12件),铜器2件套 (2件),金银器0件套 (0件).钱币0件套 (0件),古籍图书5件套 (5件),其余类别藏品 647件套(753件)。

按照年代分,汉代0件套 (0件),唐代0件套 (0件),宋代0件套(0件),清代31件套 (102件),中华民国67件套 (176件),建国后0件套 (0件),其余年代藏品 587件套 (587件)。

按照藏品来源分,征集购买 685 件套 (865件),接受捐赠 0件套(0件),依法交换0件套 (0件),拨交件0套(0件),其他0件套(0件)。

广信区三鼎民俗博物馆


 
上一篇:广信区三鼎民俗博物馆基本陈列讲解词
下一篇:博物馆近三年产品征集清单