设为首页
加入收藏
首页
关于我们
博物馆简介
陈列大纲
场馆类型
农耕文化
乡贤文化
百家姓文化
儒家文化
道教文化
藏品
民俗类
书画类
邮票类
新闻动态
广信区三鼎民俗博物馆第二次消防演习
联系我们
公示
章程文件
理事会成员名单
公示
章程文件
理事会成员名单
联系我们
联系人:蔡福伟
电话:0793-8629678
手机:13907937095 15879382282
Email:3316906087@qq.com
地址:江西省上饶市广信区皂头镇三联村
QQ:3316906087
位置:
首页
> 章程文件
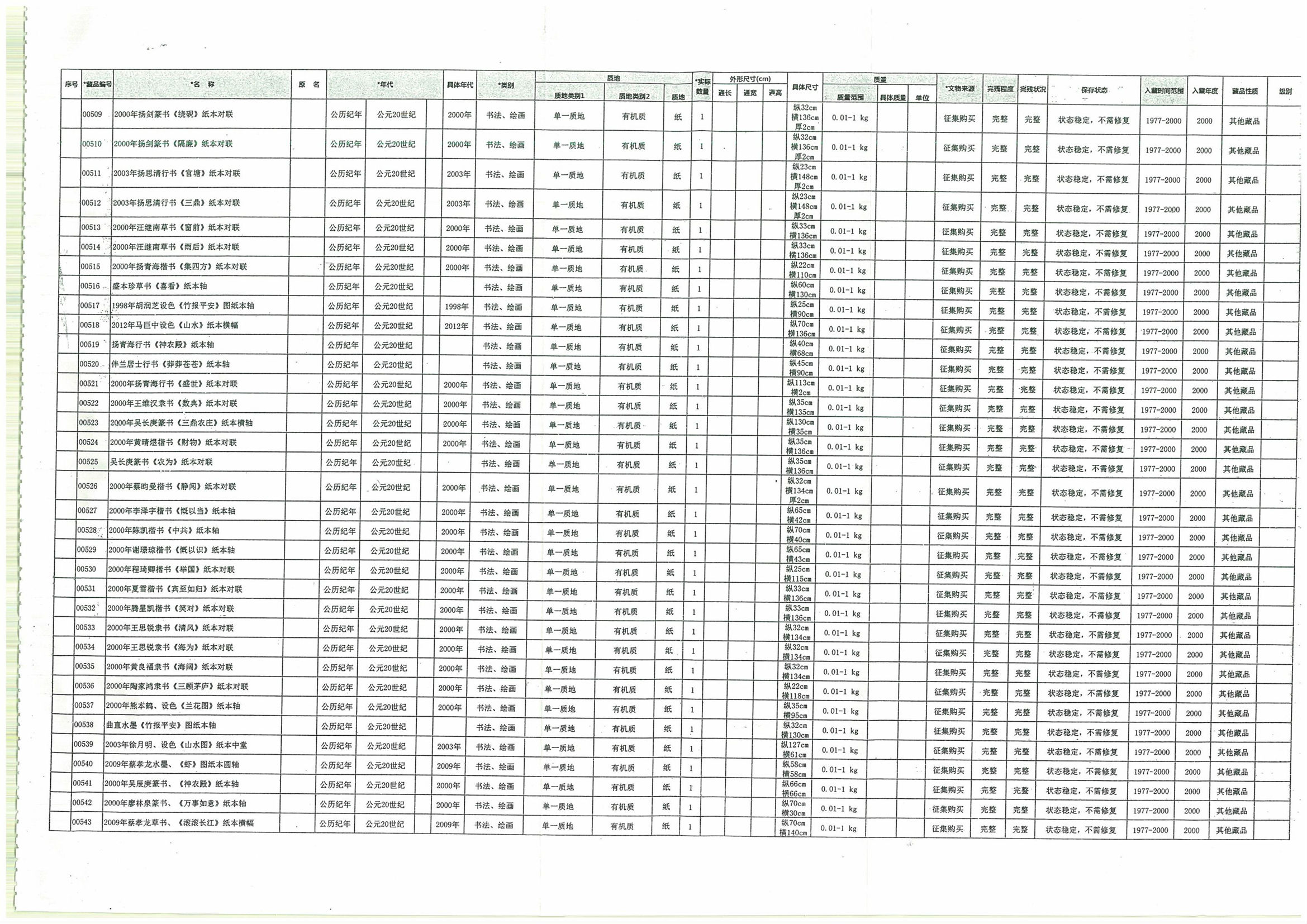
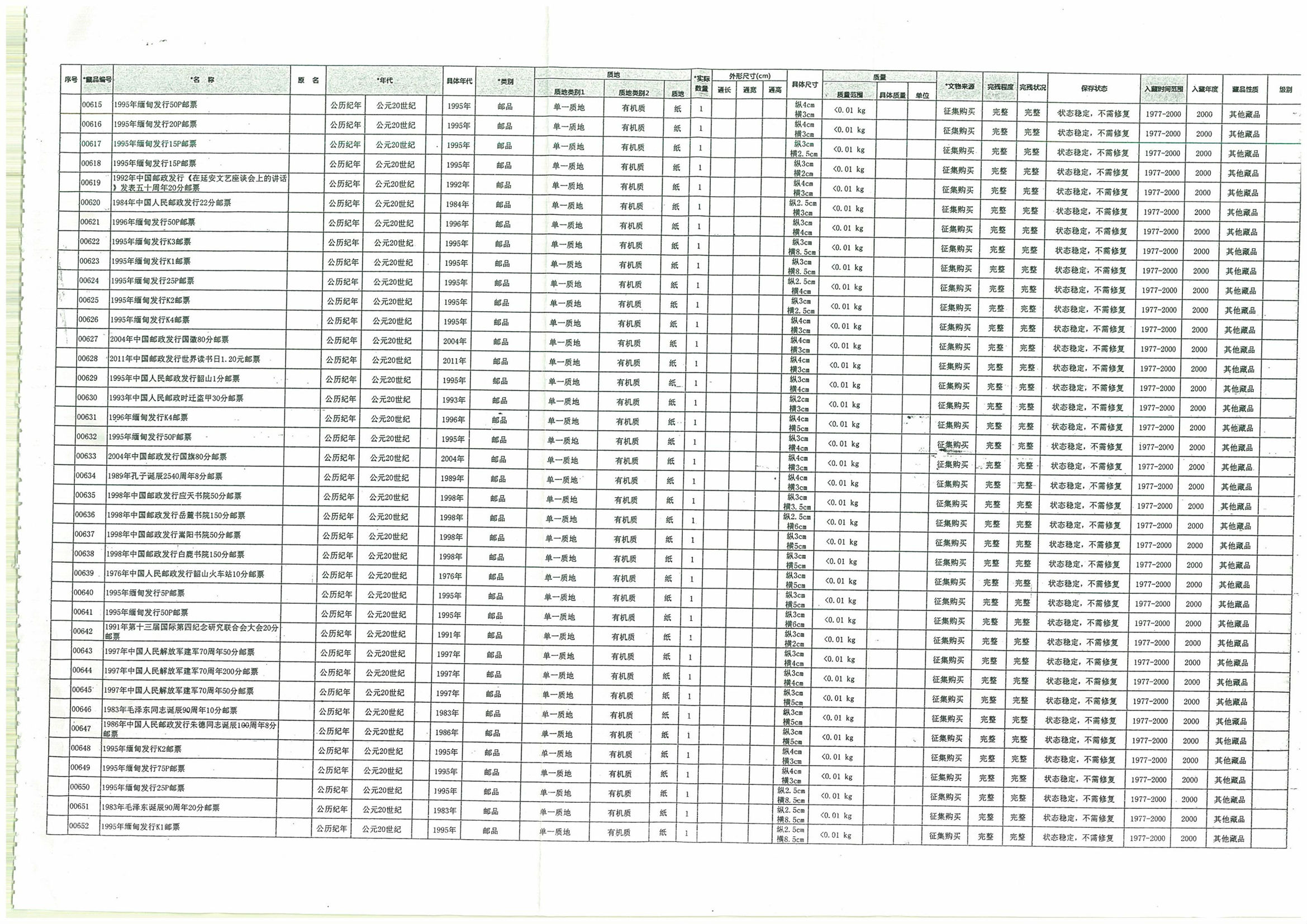
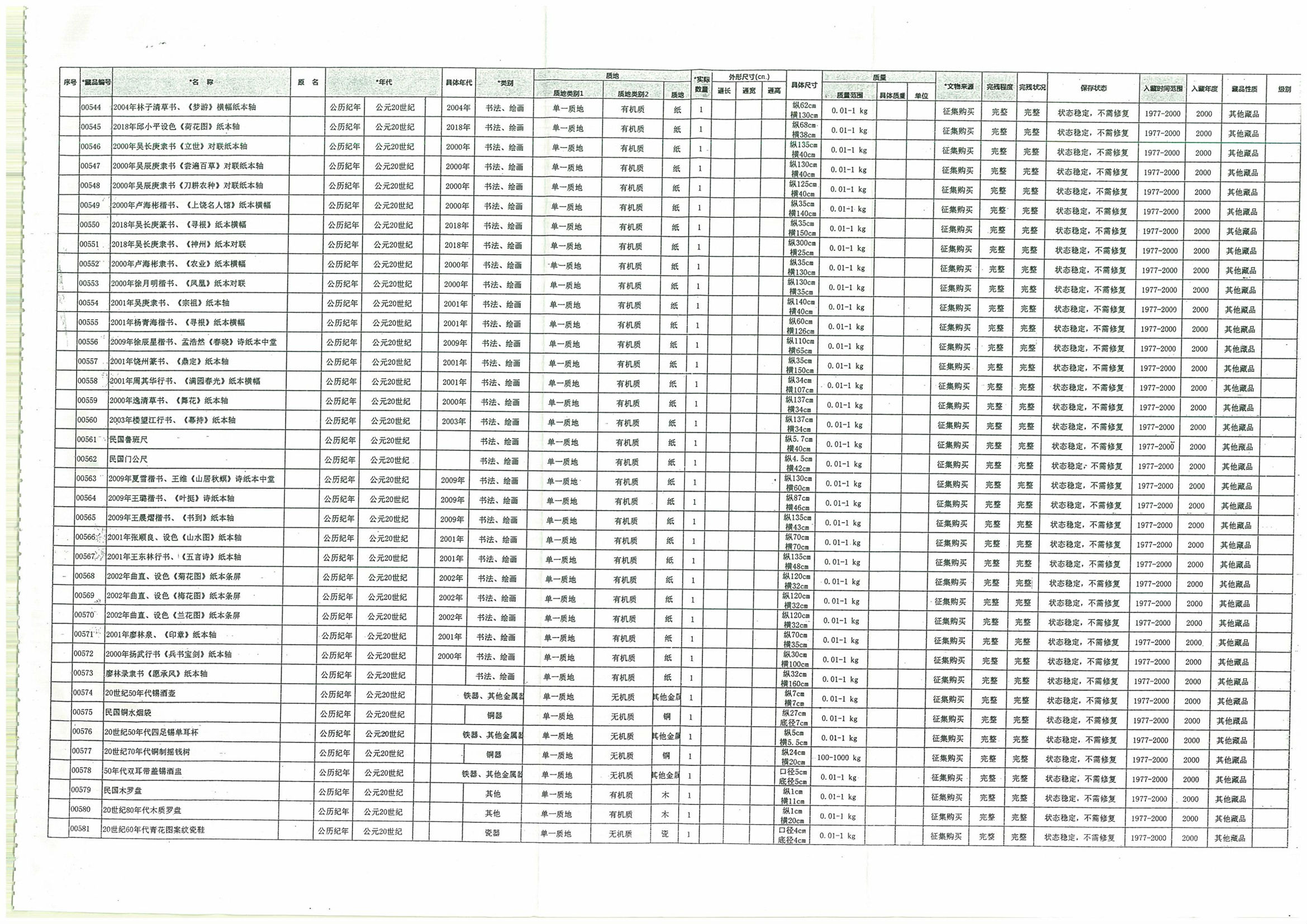
广信区三鼎民俗博物馆博物馆藏品数据库公开
发表时间:
2024-01-23
阅读次数: 字体:【
大
中
小
】
上一篇:
上饶市广信区博物馆之友章程
下一篇:
藏品入藏标准和征集工作流程